年产1000吨依诺沙星原料药的厂房设计毕业论文
2021-11-25 23:16:01
论文总字数:20570字
摘 要
依诺沙星是一种氟喹诺酮类广谱类抗生素,杀菌作用强且副作用小。自第一次在日本研发上市后,迅速扩大市场,之后在多个国家取得良好疗效,深受好评。依诺沙星的作用机制是通过酶反应来破坏细菌的细胞膜,这对大部分细菌都适用,且细菌对依诺沙星不易产生耐药性。因此依诺沙星比其他抗菌药物更具优势。本次设计以生产依诺沙星原料为目的,结合国内制药水平,选择合适的生产方式,制定年产1000吨依诺沙星的生产工艺路线和车间布置。本次设计中采用以5-氟-2,4-氯-3-吡啶甲酸乙酯为原料,通过缩合反应、缩合反应、环化反应、水解反应,最后产出依诺沙星原料。通过物料衡算,热量衡算结果进行设备选型。之后进行车间布置、生产安全管理和三废处理,最后画出工艺流程图和车间平面布置图等。
关键词:依诺沙星 原料生产 工艺设计
Abstract
Enoxacin has been listed in Japan for the first time since January 1986 and has been in existence for more than seven years. A large number of clinical application practices have shown that enoxacin has a wide range of antibacterial effects, clear therapeutic effects, and bad. The response is weak and well received by the majority of doctors and patients. The antibacterial effect of enoxacin is different from other antibacterial drugs. It mainly acts on bacterial DNA gyrase, destroys the integrity of bacterial cell membranes and inhibits the reproduction of bacteria. Moreover, the bacteria are not easy to develop resistance to enoxacin and will not be resistant to plasmid transmission. The purpose of this design is to produce enoxacin raw materials, combined with the domestic pharmaceutical level, select the appropriate production method, and formulate the production process route and workshop layout of 1,000 tons of enoxacin annually. In this design, ethyl 5-fluoro-2,4-chloro-3-picolinate was used as the raw material, and the enoxacin raw material was finally produced through condensation reaction, condensation reaction, cyclization reaction, and hydrolysis reaction. Equipment selection is based on the results of material balance and heat balance. Finally, draw the process flow chart and workshop floor plan.
keywords: Enoxacin; Raw material production; echnological design
目录
第一章 绪论 1
1.1 背景 1
1.2产品概述 1
1.3设计目的 1
1.4设计内容 1
第二章 生产工艺 3
2.1依诺沙星的合成路线概述 3
2.2依诺沙星生产路线图 5
2.3生产工艺操作流程 5
2.3.1缩合反应 5
2.3.2缩合反应 6
2.3.3环化反应 6
2.3.4水解反应 6
2.4 工艺流程图 7
第三章 物料衡算 9
3.1物料衡算目的 9
3.2物料衡算依据 9
3.3物料衡算基准 10
3.4物料衡算计算过程 10
3.4.1水解反应, 10
3.4.2环化反应 11
3.4.3缩合反应 13
3.4.4缩合反应 14
第四章 能量衡算 15
4.1能量衡算目的 15
4.2能量衡算依据 15
4.3热量衡算计算过程 18
4.3.1缩合反应 18
4.3.2缩合反应 19
4.3.3环化反应 20
4.3.4水解反应 20
第五章 设备选型 22
5.1设备选型依据 22
5.2主要设备选型 22
5.2.1缩合工段的选型 22
5.2.2缩合工段选型 23
5.2.3环化工段选型 24
5.2.4水解工段选型 25
5.2.5辅助设备选型 26
5.3设备一览表 26
第六章 车间设计 27
6.1设计规范参考文献 27
6.2车间布置 27
6.3洁净区布置 27
6.4定岗人员配置 28
6.4.1各工段生产区 28
6.4.2办公区 28
6.4.3洁净区 28
6.4.4化验区 28
6.4.5各单位定员 28
第七章 生产安全与环境保护 30
7.1车间生产安全原则 30
7.2安全防火用电 30
7.3三废处理 30
7.3.1废气处理 31
7.3.2废液处理 31
7.3.3废渣处理 31
第八章 总结 32
参考文献 33
致谢 34
- 绪论
1.1 背景
大量的细菌在人体内的繁殖产生的代谢产物将造成全身性感染,表现为高热,关节痛,皮疹,寒战等症状,若出现伤口感染也不利于治疗和恢复。因此市场上市了很多抗菌类的药物。比如头孢菌素类,青霉素类,磺胺类,氨基糖苷类,大环内脂类,喹诺酮类,新型β内酰胺类等。1986年1月,依诺沙星第一次在日本由制药株式会社研发上市,之后在德国,法国等用于治疗多种细菌感染获得良好疗效。国内由中国医学科学院医药生物技术研究所与武汉制药厂合作开发,于1989年在国内批准生产上市[1]。依诺沙星抗菌作用广泛,对各类感染的总有效率可达95.3%。不良反应主要为胃肠道反应和过敏性反应等。国内外大量临床研究表明,它可广泛应用于治疗呼吸道、消化道和泌尿道等感染性疾病[2],是哇诺酮酸类抗菌药物的优秀代表之一。
1.2产品概述
依诺沙星又名氟啶酸。为无味粉末结晶状,颜色为白色或带点微黄、不溶于水,可溶于有机溶剂。依诺沙星作为一种抗菌药,常制作为药剂、软膏、滴眼液,通过与细菌的DNA回旋酶作用,抑制细菌细胞膜DNA的复制,从而导致细菌死亡[3]。依诺沙星杀菌效果好,对需氧抗革兰氏阴性菌的抗菌作用的比其他抗菌药物更强。依诺沙星具有广谱性,在体外能治疗大部分细菌,比如大肠埃希菌、沙门菌、克雷伯菌等,即使是耐药性高的细菌,也具有抗菌活性。但对革兰氏阳性菌和厌氧菌的治疗效果不太明显[4]。
依诺沙星的抗菌作用适用于由敏感菌引起的大部分感染,比如皮肤感染泌、尿生殖系统感染、呼吸道感染、胃肠道感染、骨和关节感染等[5]。对女性妇科疾病盆腔炎也能起到治疗效果。依诺沙星药效太强,食用过多会产生幻觉,因此老人、小孩和孕妇等体制弱的人一定要谨慎使用。依诺沙的不良反应主要有:腹泻、恶心、呕吐,过度使用会头晕、胸闷、失眠、静脉炎。结晶尿。过敏反应主要有:皮肤红疹、皮肤瘙痒,严重者导致血管神经性水肿。少数患者有光敏反应,遇到日光照射会出现皮肤瘙痒、红斑、红肿等[6]。
1.3设计目的
本次设计以生产依诺沙星原料为目的。通过查阅相关资料,学习依诺沙星的药理作用,了解市场上多种生产依诺沙星的生产路线,然后结合国内制药水平,在经济允许范围内,选择合适的生产方式,制定年产1000吨依诺沙星的车间工艺设计,包括生产工艺路线和车间布置等。
1.4设计内容
首先选择一种合适的工业化的依诺沙星生产路线,这个路线最好成本低,反应物质易得,反应条件温和,生产效率高。分析每一个生产步骤,知道生产流程图,然后根据年生产依诺沙星的量,进行物料衡算,算出反应每个反应流程物料的走向和组成。然后再进行能量衡算,算出反应所需要的能量和所需制热剂制冷剂的量。其次是设备选型,根据物料衡算和能量衡算的结果求出设备的容积和传热面积,在《化工工艺设计手册》上查取符合条件的设备型号。最后将所有结果汇总,绘制带控制点的工艺流程图和车间平面布置图等,即完成本次设计。
- 生产工艺
2.1依诺沙星的合成路线概述
本次设计为年产1000吨依诺沙星的车间设计,通过查阅相关文献,了解依诺沙星的生产工艺,总结工业上合成依诺沙星的方法主要有三种:
第一种以2-甲基-3-氨基-6-乙酰胺基吡啶为原料制备依诺沙星。通过氧化、碘仿反应、开环、水解、环化最后生产依诺沙星。本种合成路线反应步骤少,原料成本低廉,经济易得,但反应副反应多,会导致最终收率低,没有利润价值,而且工业废水废渣对环境污染严重,不适于工业化[7]。
图2.1 依诺沙星合成路线1
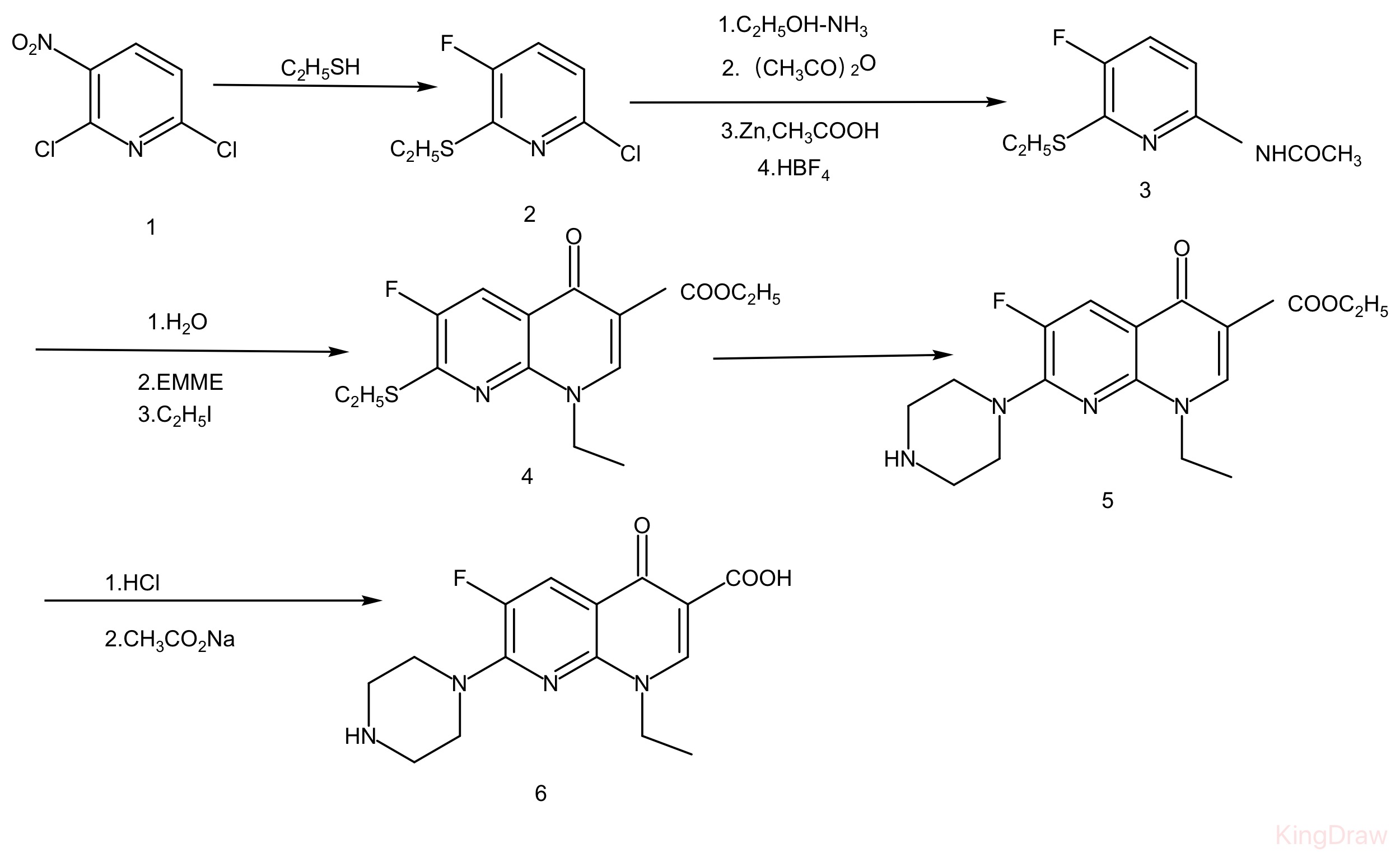
第二种以2,6-二氯-3-硝基吡啶为原料生产依诺沙星,先经过缩合反应,再经过酞化、还原水解等反应生产中间体,最后经过缩合、环化、乙基化、水解最终得到产品依诺沙星。这种合成路线反应步骤少,但反应条件苛刻,原料成本高,收率低,不适合工业化。[8]。
图2.2 依诺沙星合成路线2
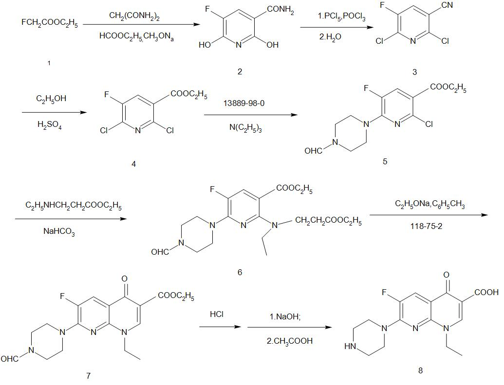
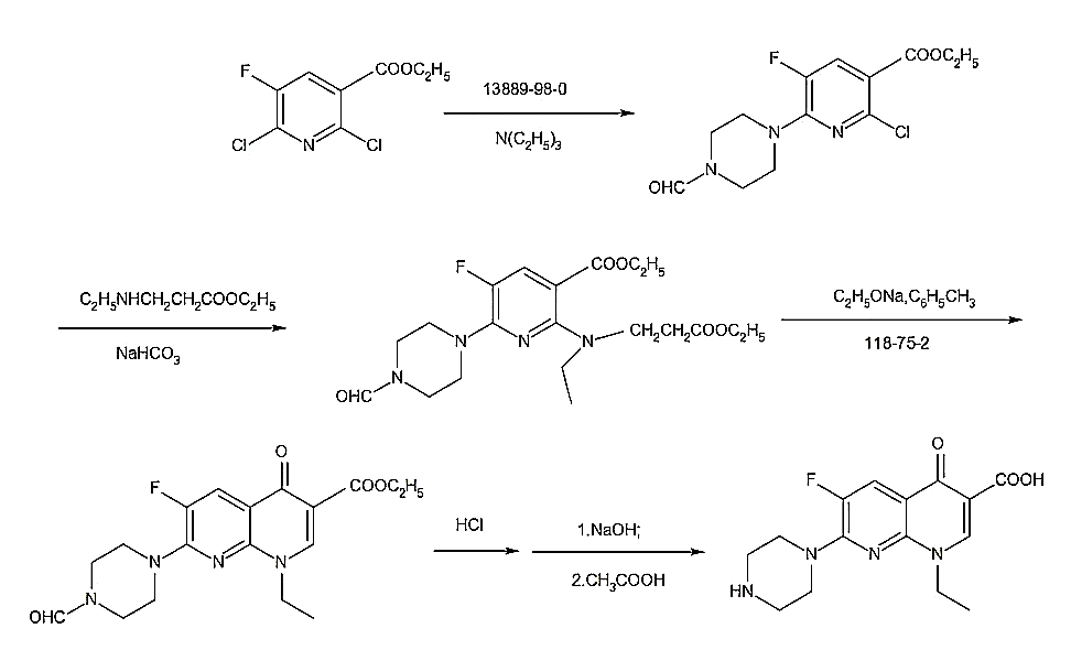
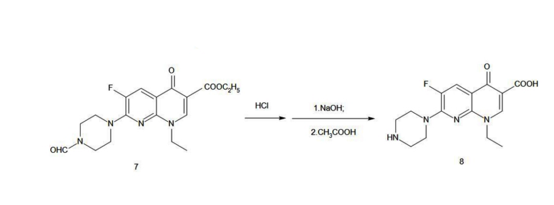
第三种以5-氟-2,4-氯-3-吡啶甲酸乙酯为原料,N-乙酰哌嗪和三乙胺回流反应生产中间体,然后与3-(乙胺基)丙酸乙酯、碳酸氢钠回流反应,再经过缩合反应、环化反应、脱氢水解,最后得到产品依诺沙星[9]。
其中5-氟-2,4-氯-3-吡啶甲酸乙酯可以由氟乙酸乙酯与甲酸乙酯反应,经冷却降温后,加入乙醇钠在机械搅拌下混合均匀.于室温下反应3小时;然后再加入丙二酰胺、乙醇搅拌加热回流反应15分钟;加入浓盐酸酸化,冰水冷却。然后加入五氯化磷、三氯氧磷,加热回流反应17小时;在经冰水水解,氯仿提取,最后用NaOH溶液调节pH至中性,在烘箱中干燥;再与稀硫酸、乙醇回流反应24小时。然后经氯仿提取,用NaOH调节pH至中性,干燥得到5-氟-2,4-氯-3-吡啶甲酸乙酯[10]。因为5-氟-2,4-氯-3-吡啶甲酸乙酯可以直接购买,成本低廉,故本次实验从5-氟-2,4-氯-3-吡啶甲酸乙酯开始。

请支付后下载全文,论文总字数:20570字
相关图片展示:





课题毕业论文、开题报告、任务书、外文翻译、程序设计、图纸设计等资料可联系客服协助查找。
