双燃料船舶机舱安全监控系统设计毕业论文
2020-03-23 09:30:27
摘 要
随着国际上经济的飞速发展,各个国家和地区对能源的消耗速度也越来越大,大量能源如化石能源在不断消耗,使得世界上这些不可再生资源不断减少逐渐面临枯竭,而且对环境和生态造成了巨大的压力。因此不断从经济还是环境的角度出发,LNG/柴油的混合动力发动机的技术孕育而生,并逐渐完善,在未来的一段时间内应该可能会成为内河船舶的发展方向之一。但是这种新型船舶处于发展初期,不可避免的有很多方面的安全隐患,所以对这种双燃料船舶的风险分析和风险评估非常重要。
由于中国船级社和海事局对双燃料船舶的规范制定才刚刚开始,并没有很完善的体系。只能根据已经颁布的对双燃料船舶机舱有所帮助的相关规范,对仍然燃料机舱可能发生的事故进行风险分析和评估,并设计了基于PLC的双燃料船机舱安全监控系统。
本安全监控系统主要是对机舱可能发生的通风机故障、燃气泄漏和火灾事故进行监测和报警。并进行了一系列传感器和燃气控制器选型,最后通过调试,基本达到了系统要求,但是无法做到对发动机和管系相关故障的及时响应。关于发动机和管系的安全检测还需要更深层次的研究,特别是对发动机的监测,将会是未来的一个研究方面。
关键词:风险分析;LNG/柴油双燃料;PLC;安全监控
Abstract
With the rapid development of the international economy, the demand for energy in various countries and regions is increasing, and a large number of fossil fuels are constantly depleted, which makes the continuous reduction of these non renewable resources in the world gradually exhausted, and has caused great pressure on the environment and ecology. Therefore, from the point of view of economy or environment, the technology of hybrid diesel engine of LNG/ diesel has been born and perfected gradually. The future may become an important part of inland river vessels. But this new type of ship is in the early stage of development, inevitably there are many security risks, so the risk analysis and risk assessment of this kind of dual fuel ship is very important.
As China Classification Society and maritime bureau have just started the specification of dual fuel ships, there is no perfect system. According to the relevant regulations that have been issued to the engine room of the dual fuel ship, the risk analysis and evaluation of the possible accidents in the fuel engine room are analyzed, and a set of PLC based safety monitoring system for the dual fuel ship engine room is designed.
The safety monitoring system mainly monitors and alarms the fan faults, gas leakage and fire accidents that may occur in the engine room. The selection of a series of sensors and gas controllers is carried out. Finally, the system requirements are basically achieved through debugging, but the timely response to the related failures of the engine and the pipe system can not be achieved. Further research is needed on safety testing of engines and piping systems, especially for engine monitoring, which will be a research area in the future.
Key Words:risk analysis;Liquefied natural gas diesel dual fuel;PLC;
Safety monitoring
目 录
第1章 绪论
1.1本课题研究的目的及意义 2
1.1.1 LNG燃料的优势 3
1.1.2 影响LNG燃料发展的主要问题 4
1.2 国内外LNG燃料船舶发展现状 4
1.2.1 国际 LNG 燃料船舶发展现状 4
1.2.2国内柴油-LNG双燃料动力船 5
1.3 国内外天然气泄露风险评估研究现状 5
1.3.1 国内外船舶风险评估相关理论研究现状 5
1.3.2国内外天然气泄露风险评估研究现状 6
1.4本文主要工作内容 7
第2章 双燃料船舶的工作原理 8
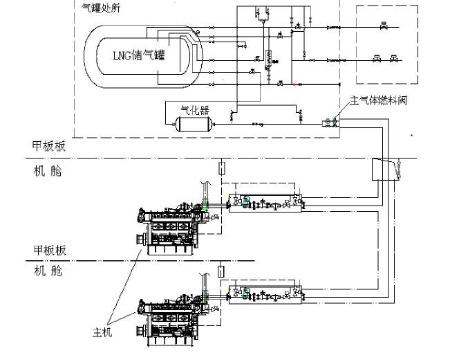
2.1柴油-LNG 双燃料动力船舶系统工作原理 8
2.2柴油-LNG 双燃料动力船舶机舱 10
2.2.1本质安全型机舱 11
2.2.2增强安全型机舱 12
第3章内河柴油-LNG 双燃料动力船舶风险识别 14
3.1 LNG特点 14
3.2双燃料动力船舶风险识别 14
3.2.1可燃气体泄漏风险因素 15
3.2.2火源产生风险因素 15
3.2.3 避险措施失效的因素 16
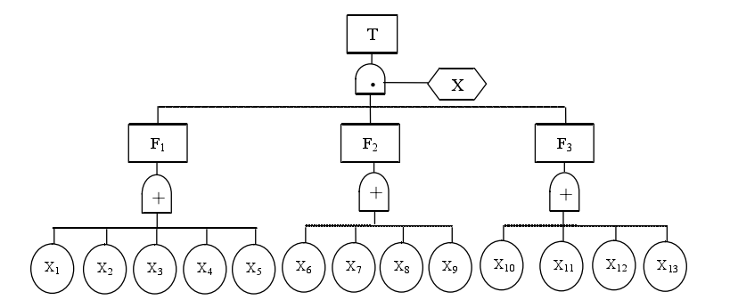
3.3事故树分析法 16
第4章 安全监控系统总体设计 18
4.1 安全监控系统主要功能 18
4.2安全监控系统组成 18
4.3控制柜设计 19
4.4设备的选型 20
4.4.1温度传感器 20
4.4.2压力变送器 20
4.4.3可燃气体探测器和燃气控制器 20
4.4.4感温感烟探头 21
4.4.5火焰探测器 21
第5章电路设计和程序设计 22
5.1I/O地址分配 22
5.2电路设计 22
5.3程序设计 23
5.3.1各故障处理模块逻辑 23
5.3.2计算机编程 24
第6章结束语 25
6.1结论 25
6.2问题与展望 25
参考文献 26
致谢 28
第1章 绪论
1.1本课题研究的目的及意义
地球上的生态环境在不断恶化,而且人们的环保意识也在加强,慢慢人们认识到要加强对污染气体排放以及温室气体产生的控制。船舶航运业它作为国际贸易几乎最重要的运输方式,产生的排放对生态环境造成的影响早已经被国际上加以关注。目前受制于要保护世界生态环境的重任,国际海事组织(后简称IMO)多年之间不间断的出台了很多新规则和规范,又或者对以往的不能满足要求的旧规则进行修改,希望能够逐渐减少国际上船舶航运的污染气体以及温室气体的排放。详细的表现在,近几年IMO不断的修改的低排放区域的规定要求,低排放区域的空间逐渐变大,而要求和检测也日渐严格,国际船舶运输也必须要适应这越来越严格的海事环保法规的规定,于是也必须要求船舶航运要使用污染气体产生更少的新型环保发动机,这也就开始带动了各种其他燃料发动机的火速研究,比如使用低硫油或者以液化天然气(LNG)为主要燃料的船舶双燃料发动机,目前船舶发动机技术的发展趋势将会是对双燃料船舶发动机的发展。
加上目前国际上最近几年的生产总值还在飞速增长,与此同时也会带来能源的消耗速度随之增长,这也会因为能源的过度开采导致各地的生态被严重破坏,并且化石能源也在人们的使用中逐年变少。我国政府早已认识到这个问题,于是政府在这个大力发展经济的重要时段,没有不重视对能源的开采和对环境的保护相协调的可持续发展路线,提出可持续发展战略,极力赞成和鼓励开发新的能源比如各种可再生能源,争取用最短的时间将常规能源慢慢变为可再生能源或者各种新型清洁能源。所以不管是就环境方面还是就能源消耗方面,以LNG为动力的双燃料发动机的研究也提上日程。
目前的LNG单燃料发动机的燃料完全由柴油替换成LNG液化天然气,而柴油-LNG双燃料发动机是在现有的单柴油发动机的构造上,增加了供应LNG的 燃气供应系统和控制燃料喷射的电控喷射系统,这样能轻松的实现燃烧纯柴油和使用柴油-LNG两种燃料混燃这两种不同的工作模式。目前国内现状来看,LNG 的加注等相关程序还不够完善,因此现阶段燃料为LNG的单燃料发动机船舶还比较稀少,因此不做详细叙述。而柴油-LNG 双燃料发动机因为其具有从两种工作模式中切换的功能,在现阶段被广泛使用。而且对环境来讲,据相关的报道显示,当这种船舶正工作于柴油-LNG双燃料燃料的模式下时,SOx的排放上大幅度减少,CO2的排放能减少20%,NOx更是能减少 40%往上,可吸入物及噪声等也相应减小。假如未来双燃料船舶能够在全国的各种内河、沿海普及应用,这将会产生难以想象的经济上、生态上的效益。
然而这种双燃料作为发动机中一个新的研究方向,与其他的燃料动力船舶相比,具有更高的也更为特殊的防火防爆安全要求。目前柴油/LNG的双燃料船舶的发展受到国际上的重视,因此现在双燃料船舶研究的一个重要方向就是研究如何让双燃料船舶能够安全运行。再加上如今对双燃料船舶技术发展和管理水平有限,双燃料船舶在使用过程中的安全问题都是不可预料的。而机舱作为船舶核心,其重要性不言而喻,机舱是否能够安全有效并稳定的运转直接影响整个船舶的状况。因此对预防和监测机舱是否处于危险状态来达到控制或者降低机舱的事故发生风险十分重要。
1.1.1 LNG燃料的优势
天然气(简称NG)说的是一种化石燃料,它在常温常压下是多组分的混合气态。它的组成很复杂,甲烷大约占其中的85%-95%,另外其成分中还含有少量的乙烷、丙烷和丁烷、少量的CO2、N2等。液化天然气(LNG)是在大气压下能以液态形式存在的NG。NG通过脱水、脱硫、去除了杂质和重烃类,然后在一个大气压的环境下冷却至约-162℃时,NG开始液化,形成的液体即为LNG。它具有无色、无味、无毒、无腐烛性的特点,这一过程体积约缩小了625倍。而且它的密度比水更低,就是说和同体积的水,质量约只有水的一半还要少,意思是运输起来更为轻便。由于得到LNG的过程相比于传统的液化,原始物质还通过了脱除各种不需要的杂质,所以其主要成分相比NG还是有点差距,它主要成分还是为甲烷,及少量的乙烷、丙烷和丁烷,但几乎不含重烃、CO2、N2和H2O等。
目前来看LNG能作为船用燃料在经济和环境保护方面可以拥有巨大的优势。
在环保方面:目前国内比较成熟的LNG动力船舶均为 LNG-柴油双燃料混合动力船舶,这种船舶使用的是 LNG-柴油双燃料发动机,当 LNG 替换掉约 70% 的燃油时发动机还可以稳定有效的运行,这时 LNG 与柴油的质量混合比 约为 7:3 。LNG 经过气化器气化后进入发动机时的天然气平均低热值约 37.85 MJ /m3,密度大概是 0.78 kg /m3,而柴油的低热值大约按 45.8 MJ/kg来计算,可以得出 1.0 kg 的LNG发热量可以与 1.06 kg的柴油发热量相当。但是天然气的燃烧效率较柴油相比大约要低上 10% ,根据在LNG-柴油双燃料船舶上进行的运行检测, 1.0 kg 的 LNG 大约可以代替柴油 1.0 kg。在 LNG 与柴油质量混合比为 7:3 的工况下,使用双燃料的发动机相较于使用柴油的单燃料发动机,硫氧化物和颗粒排放量降低约60%~70%,氮氧化物排放量降低35%~40%,二氧化碳排放量降低约20%~ 28%。
在经济方面:由于LNG较柴油便宜,如果使用质量混合比 1:1 的比例代替柴油总量的 70 %,就能让成本大幅降低。
LNG不仅仅只是在环保和经济方面才有优势,而且在具体使用技术上,LNG 也算拥有较好的实用性。首先LNG无毒无腐蚀性,其次LNG是低温的液态,在常温常压下会发生气化,即使船舶上发生LNG泄漏,泄露出来的LNG也会迅速发生气化,气化之后的气体密度相较与空气更低,正常情况下一定会自然的向上扩散,在通风良好的情况下很难达到爆炸极限,和柴油相比,不会对当地水造成污染,而且燃点比汽柴油还高。技术上实现也很方便,只需在现有的纯柴油燃料船舶上改装,一套LNG的燃气 供应系统和一套适合LNG-柴油双燃料发动机的电控喷射系统,这样就可以将柴油动力变为柴油/LNG双燃料,其中7成的柴油被LNG 替代,但是经过上面的计算,改装之后能够保持船舶的动力性能与原机相当,且两种模式之间还能互相切换。
从上面可以看出,LNG 作为船舶的一种新型动力燃料既安全环保、长期来看经济优势巨大,使用还很方便、运行状态比较稳定,将会是未来航运业上能替换化石能源的理想燃料之一。
1.1.2 影响LNG燃料发展的主要问题
因为LNG发动机的发展还处于刚开始阶段,目前还有制约其发展的各种问题,主要是两点:用户所需要的建设成本大和缺少相应方便快捷的加气网络。
用户所需要的建设成本大。将传统的纯柴油发动机改装成为双燃料发动机必要的本钱较多,储气罐、安全监控系统、燃料供应管系、电控燃料喷射系统等,这些系统的设计和应用都要求非常严格。而且双燃料发动机的建造也没有形成规模,所以建造与改装使用LNG作为动力之一的双燃料船舶的成本比普通动力船舶至少要高20%以上。
缺乏相应方便快捷的加气网络。要想推广LNG/柴油的双燃料发动机,完善的加气网络是必须的,然而从目前形势来看要建设出一整套完善的LNG物流链是十分困难的,巨大的投入资金从某种程度上讲可能是LNG动力船舶发展面临的最大问题。这个问题也正是很多地方要想发展LNG/柴油双燃料发动机所需要解决的瓶颈所在。
1.2 国内外LNG燃料船舶发展现状
1.2.1 国际 LNG 燃料船舶发展现状
现阶段国际上的 LNG 动力的船舶才刚开始起步发展。目前还只有少量的柴油/LNG双燃料船舶已经能够投入使用和营运,而且这种船舶活动的范围一般比较小,多属于内河和沿海,但是其发展的速度已经极其惊人。 国际上的 LNG 动力船舶多为用于近海运输的大型散货船。
日前国际上挪威对LNG 动力船舶的研究与发展走在世界前列。在2001年时,挪威船级社( DNV) 最先制定了一套技术标准规范用来规范LNG动力船舶的设计,同时开始着手研究和解决制约LNG 船舶发展的各种技术上的问题。然后挪威开始建设各种配套设施,比如LNG 的加注设施:准备了一批专门用来为使用LNG 动力的船舶加注LNG的船舶。截至2012年全球已经有 20 艘使用LNG作为燃料的船舶,这些船舶全部都在DNV检验入级,当时也有很多正在生产中的LNG燃料船舶。
到2015年为止,国际上以LNG作为主要燃料的营运中或在建的船舶已经有83艘,这还不包括各种内河船舶。这83艘船舶包括各种轮渡、巡逻船、散货船、 油轮和平台供应船。当时预言到2025年,世界上以LNG为主要燃料的船舶将会超过3200艘。同时也有很多为LNG船舶服务的配套设施也在建设当中,可以预见未来将会不断的改进和完善。这样就可以看出,在世界传播航运发展历程上,LNG船舶将会是在未来的一段时间的主要研究方向。
1.2.2国内柴油-LNG双燃料动力船
我国开始发展LNG动力船舶较晚,在2010年才开始将LNG作为船用燃料,且为双燃料船舶,并且该船舶还是由旧的纯柴油船舶改造而成,LNG发动机的相关技术水平非常落后。所以之后几年两年国家紧急出台了一系列的福利政策来推进以LNG为动力的船舶发展,各相关企业、高校、科研院所也都在积极的研究LNG燃料船舶的各种相关问题,才能够快速的发展LNG动力船舶。后来由我国建造或改造的部分柴油-LNG双燃料动力船如表1所示。

在大力发展LNG动力船舶的同时,国家没有忘记推进LNG船舶配套设施的建设工作。到2014年7月为止,根据不完全数据统计,正在规划改建的LNG加注船有30多艘,而且除了加注船外,我国也还在同时规划建设了多座加注站。这些配套设施的逐渐完善与健全,也标志着国内内河上的LNG动力船正在悄然发展。
1.3 国内外LNG泄露风险评估研究现状
1.3.1 国内外船舶风险评估相关理论研究现状
风险说的是指一段时间内,因为发生了意料之外的事故,导致某系统的行为具有不稳定性,这样有给人类带来危害的可能性。安全风险评估是随着核工业的兴起才出现的,能够作为正式的学科是在 20 世纪 40 年代到 50 年代之间,然后才逐渐应用到各个领域。
英国石油巨头公司BP国际在进行位于北海地区的石油开发项目时,第一次在海洋工程领域使用了风险分析的方法。挪威的石油工业协会(OLF)1981年制定了关于海洋平台的安全风险评估规范,这个规范中明确的要求了所有的离岸设施在进行概念设计阶段的时候必须要进行量化的风险评估。OLF为了促进国际上石油工业的发展,因此在1993年大范围参考了很多国际标准之后,制定了NORSOK规范,用NORSOK 规范来统一每个石油公司内部不同的安全规范以及各种各样的工业规范。 英国于20世纪80年代和90年代依据多年来在安全风险评估领域中的大量研究,在船舶安全领域中提出和使用综合安全评估(Formal Safety Assessment,简称 FSA)方法,获得了非常卓越的效果;
Shenping Hu 等根据 FSA方法论述了定量风险评估和 FSA 的通用风险评估模型,然后根据MRRA提出了一种关于模糊函数的风险评估模型,该模型被行业内确认是船舶航行时来做安全评估的一种有效模型;还有Hong Hu研究重心放在如怎么样将动态故障树与事件树结合,总结出了它们之间的结合方式。
以上是毕业论文大纲或资料介绍,该课题完整毕业论文、开题报告、任务书、程序设计、图纸设计等资料请添加微信获取,微信号:bysjorg。
相关图片展示:







课题毕业论文、开题报告、任务书、外文翻译、程序设计、图纸设计等资料可联系客服协助查找。
