渣蜡的热解特性研究毕业论文
2020-04-18 19:43:01
摘 要
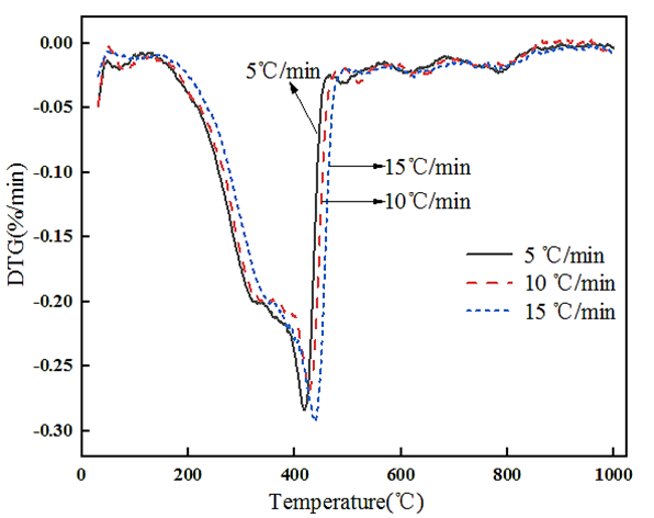
本文所研究的渣蜡成分复杂,含有一系列的烃类化合物、醇和醛等含氧化合物以及未分离的催化剂,采用热重分析仪对渣蜡在N2气氛下的热解特性进行分析。结果显示:渣蜡的热解过程大致分为水分(30-145℃)析出、挥发分(145-500℃)析出以及碳化(500-1000℃) 3个阶段;比较5、10、15℃/min三种不同升温速率热重曲线可知,在热解的主反应阶段,TG曲线随着升温速率的升高向高温侧偏移,产生热滞后现象,且升温速率对渣蜡热解的总失重率影响不大;利用无模式法中的FWO法对渣蜡热解的主反应阶段进行热解动力学研究,得到转化率α为0.1-0.9之间的活化能约为169.23 kJ/mol,从整体上来看,活化能的大小随转化率的升高而增加,并且有两次比较急剧的上升。此外,Kissinger法估算所得活化能约为206.24 kJ/mol,由于动力学模型、升温速率以及颗粒大小等因素的影响,略高于FWO法得到的热解活化能。
关键词:渣蜡 热重分析 热解 动力学
Study on pyrolysis characteristics of slag wax
Abstract
The slag wax studied in this paper has complex components, contains a series of oxygen compounds such as hydrocarbon compounds, alcohols and aldehydes, and unseparated catalysts. The pyrolysis characteristics of the slag wax under a nitrogen atmosphere are analyzed by a thermogravimetric analyzer. The results show that the pyrolysis process of slag wax can be roughly divided into three stages: water volatilizatio(30-145℃),the degradation of organic material(145-500℃) and carbonization stage(500-1000℃);Comparing the thermogravimetric curves at different heating rates of 5, 10 and 15 ℃/min, it can be seen that the TG curve shifts to the high temperature side with the increase of the heating rate in the main reaction stage of pyrolysis, resulting in thermal hysteresis, and the heating rate has little effect on the total weight loss rate of pyrolysis of slag wax. Using the FWO method in the modeless method to study the pyrolysis kinetics of the main reaction stage of the pyrolysis of slag wax, the activation energy is about 169.23 kJ/mol at a conversion from 0.1 to 0.9. From the overall point of view, the activation energy increases with the conversion rate and there are two sharp increases. In addition, the activation energy estimated by the Kissinger method is about 206.24 kJ/mol, which is slightly higher than that obtained by the FWO method due to the effects of such as kinetic model, heating rate and particle size and other factors.
Key words: Slag wax; Thermodynamics; Pyrolysis; Kinetics
目 录
摘 要 I
Abstract II
第一章 绪论 1
1.1 引言 1
1.2 费托合成技术介绍 2
1.2.1 费托合成含义 2
1.2.2 费托合成反应的催化剂 2
1.2.3 费托合成的产物种类 3
1.3 渣蜡的资源分离回收利用技术 3
1.4 热解技术概述 4
1.5 热分析技术概述 5
1.5.1 热分析技术介绍 5
1.5.2 热分析方法 5
第二章 实验部分 6
2.1 实验试剂及设备 6
2.2 原料的制备 6
2.3 渣蜡的基础特性实验 6
2.3.1 工业分析 6
2.3.2 元素分析 8
2.3.3 热值 8
2.4 渣蜡的热重实验 9
2.4.1 实验装置 9
2.4.2 实验条件 9
2.4.3 操作步骤 9
第三章 实验结果分析 10
3.1 渣蜡的基础特性分析 10
3.1.1 工业分析 10
3.1.2 热值的误差分析 11
3.2 渣蜡的热解特性分析 12
3.3 升温速率对渣蜡热解特性的影响 14
3.4 渣蜡热解反应的动力学分析 16
3.4.1 热解动力学方程的建立 16
3.4.2 热解动力学分析 17
第四章 结论与展望 21
4.1 论文结论 21
4.2 展望 21
参考文献 23
致谢 25
第一章 绪论
1.1 引言
长期以来,能源问题一直备受公众关注,人类社会可持续发展离不开能源支撑,中国作为世界上最大的发展中国家,目前处于工业化和城市化“双快速”发展阶段,中国的能源需求正处于不断增长的状态[1-4]。当今社会最重要且关键的能源有石油、天然气以及煤炭,其中石油是能够确保各个国家经济持续发展和政治安全的极其关键的战略性物质,也是关系到国计民生的关键动力。然而,从中国的一次能源现状来看,我国是一个石油短缺、有天然气且煤炭资源十分丰富的国家,煤炭所占的比重最高,同时我国原油加工大部分是依存于国外,因此大力发展煤制液技术并尽快实现产业化显得尤为重要和关键。
煤制液技术包含煤直接液化和煤间接液化两种方式,简而言之,是指能够以煤为原料将煤炭转化成液态油品的技术,此技术在缓解我国石油短缺问题的同时,还符合我国富煤缺油的现状。发展煤炭转化为液态油品的技术成为提高液体能源自给率,继续维持煤炭作为未来使我国经济可持续发展的主要动力,是确保我国能源安全以及经济持续发展的重要手段,煤液化技术的产物可以作为化石液体燃料的替代品[3]。煤直接液化是指将煤炭直接加氢使其生成液态油品的技术;而煤间接液化是指先将煤炭经过气化反应生成合成气后,在催化剂的作用下通过此技术的核心工艺费托合成,最终转化成汽油、柴油等燃料以及化学品的技术[4],是煤炭清洁利用的重要手段之一,典型的煤间接液化工艺流程图见图1-1。煤直接液化法虽然有着收益高的优点,但是其对生产条件及设备材料的要求很高,很难实现商业化生产;相比而言,煤间接液化法得到的合成油具有清洁、环保、燃烧性能优异等优点[5],是确保我国能源安全和经济发展的一项重要手段[5-6]。
以上是毕业论文大纲或资料介绍,该课题完整毕业论文、开题报告、任务书、程序设计、图纸设计等资料请添加微信获取,微信号:bysjorg。
相关图片展示:







课题毕业论文、开题报告、任务书、外文翻译、程序设计、图纸设计等资料可联系客服协助查找。
