基于单片机的智能家居控制系统毕业论文
2020-02-17 22:08:29
摘 要
随着物联网的迅速发展,传统家居已经不能满足人们的生活需求,智能家居随之孕育而生并蓬勃发展。本文针对传统窗帘只能手动升降这一问题,设计了一种基于单片机的智能窗帘控制系统。该系统可根据光照强度自动控制窗帘的升降,并具有定时功能和温度报警系统,此外红外远程遥控也在一定程度上给人们带来便利。
智能窗帘控制系统以单片机STC89C52为核心,利用光敏电阻和ADC0832构成光照强度检测模块,使用芯片DS1302构成时钟模块,通过传感器DS18B20对温度进行采集,液晶屏LCD1602则显示系统的时间、光照强度、温度以及控制模式,步进电机和ULN2003驱动芯片构成步进电机驱动模块,各模块相互配合实现窗帘的智能开关控制。
该系统经实验测试,具有成本低、结构简单、性能稳定、使用方便等优点,迎合大众需求,具有一定的市场价值。
关键词:单片机;智能窗帘;光照强度;定时功能
Abstract
With the rapid development of the Internet of Things, traditional homes can no longer meet the needs of people's lives, and smart homes have emerged and flourished. This paper designs a smart curtain control system based on single-chip microcomputer for the problem that traditional curtains can only be manually lifted. The system can automatically control the lifting and lowering of the curtain according to the light intensity, and has a timing function and a temperature alarm system. In addition, infrared remote control also brings convenience to people to a certain extent.
The intelligent curtain control system takes the single-chip STC89C52 as the core, and uses the photoresistor and ADC0832 to form the illumination intensity detection module. The chip DS1302 is used to form the clock module. The temperature is collected by the sensor DS18B20. The LCD screen LCD1602 displays the time, illumination intensity and temperature of the system. The stepping motor and the ULN2003 driver chip form a stepping motor drive module, and each module cooperates to realize the intelligent switch control of the curtain.
The system has been tested, and has the advantages of low cost, simple structure, stable performance, convenient use, etc., and meets the needs of the masses, and has certain market value.
Key Words:single chip microcomputer;smart curtain;light intensity;timing function
目 录
第1章 绪论 1
1.1 研究目的及意义 1
1.2 国内外研究现状 2
1.3 研究内容和目标 4
1.4 论文的组织结构 4
第2章 系统分析与设计 5
2.1 智能窗帘系统分析 5
2.2 智能窗帘系统结构 5
2.2.1 单片机芯片选择 6
2.2.2 温度采集模块设计 6
2.2.3 时钟模块设计 7
2.2.4 显示模块设计 7
2.2.5 按键模块设计 8
2.3 硬件电路设计 8
2.3.1 单片机STC89C52相关电路 8
2.3.2 时钟模块电路设计 10
2.3.3 光照采集电路设计 11
2.3.4 温度检测模块电路设计 12
2.3.5 显示模块电路设计 13
2.3.6 电机模块电路设计 13
2.3.7 红外遥控模块电路设计 14
2.3.8 系统整体电路设计 15
2.4 系统程序设计 15
2.4.1 主函数设计 16
2.4.2 系统智能控制算法 17
2.4.3 光照模块程序设计 18
2.4.4 温度模块程序设计 18
2.4.5 时钟模块程序设计 20
2.4.6 显示模块程序设计 21
2.4.7 电机模块程序设计 22
2.4.8 红外遥控程序设计 22
第3章 系统测试与分析 24
第4章 总结与展望 29
参考文献 30
致 谢 31
第1章 绪论
随着无线通信技术和互联网技术的飞速发展,以及人们生活理念的转变与提升,传统简单的家居生活已经不能满足大众的需求,便捷可靠的智能化家居正逐步进入大众的视野,成为当今家居产业的主要研究方向。
1.1 研究目的及意义
智能家居作为物联网发展的一个热门应用,代表了人们对高质量舒适生活的日益追求。智能家居其实是人们的一种生活环境,是以人们日常居住的房屋建筑作为基础,利用物联网技术,将需要定制的个性化家用电器以及通信设备等,通过有线或无线的连接方式,连接到智能家居系统上进行集中的或异地远程的控制与管理,从而满足用户的个性化需求,最终达到以人为本的居住生活理念,实现安全便捷舒适的家居生活[1]。现代人们家中的防盗监控系统、烟雾报警防灾系统以及远程控制家中电器等,都属于智能家居的范畴,智能家居正以其特有的优势在人们的生活中占有越来越重要的地位。
智能家居为老年人或残疾人的生活带来了方便。对于老年人或残疾人来说,行动的不便给他们的日常生活带来了诸多麻烦,智能家居的一键可控让他们通过简单的按键操作,便可远程控制各种家用设备,智能家居的语音化服务让他们只需话音便可进行人机交互,实现开关灯等动作,这样智能化的操作使老年人和残疾人无须移动便能控制家中各种设备,给他们的生活带来了极大的改善。
智能家居为现代化都市生活带来了便捷与安全。对比传统的家居生活,智能家居在诸多方面为人们带来了极大的便利,比如在大城市中的写字楼办公室、会议室,手动控制厚重高大的窗帘对人们来说是很不方便的,因此智能控制窗帘就凸显了极大的优势[2]。此外,当住户家中发生煤气泄漏、火灾等紧急情况时,用户可以通过接收短信或其他无线通信方式,及时获取到智能家居系统提供的反馈,由此避免不必要的损失,确保了住户的安全。
智能家居利于实现节能环保的绿色生活。在当今这个能源日益匮乏的年代,国家大力倡导节能减排节约资源,但许多情况下住户都外出工作学习,长时间不在家中,家用电器却仍在通电运行,比如热水器的循环加热,电视机的长久待机等,都消耗了一些不必要的资源,这与我们节能减排的理念相违背,因此智能家居的远程随时可控为节能环保贡献了一份力[3]。
虽然市面上已经出现一些智能家居的相关产品,但一体化的智能设备还是没有遍及大众,其中复杂控制系统的高昂费用是最主要的原因,因此一款低成本、智能化的家居对人们的生活还是极为重要的。单片机以其体积小、成本低、性能高、稳定性好等优势,在智能家居中发挥着极大的作用。
然而伴随着技术的进步,人们生活水平的提高,窗帘作为日常家居生活中必不可少的物品,除了日常的遮光、保护隐私,以及装饰房间等必备基础功能外,人们对它的诉求也越来越高。传统窗帘的简单人工式手动关拉,已经不再适合现代城市的生活,智能窗帘的发展显得尤为重要。智能窗帘可以实现手动、自动模式一键切换,智能的光照强度检测与控制,可以让窗帘随着光强的变化而自主进行相应的开与关,定时功能则满足人们任意时间随时开关窗帘的需求,温度报警则提醒用户注意住房安全,液晶屏幕的显示则可以让用户随时看到采集的各项数据,如此智能、方便、美观的窗帘,还可应用到办公室、酒店等不同场所,受到大众的普遍欢迎。国外对于智能窗帘的应用已经十分普及,然而在国内智能窗帘仍需要进一步的发展与推广。
1.2 国内外研究现状
智能家居这一名词起源于美国,一经提出便得到重视与发展。在1984年世界上第一幢智能建筑,在美国的康涅狄格州建成[4]。这栋建筑添加了语音信息服务功能,通过计算机对灯光、空调等设备进行监控,此后各发达国家相继对智能家居领域投入研究。Control4、快思聪、霍尼韦尔、谷歌、苹果等公司,均在此领域有一定的研究与发展,这些公司各有其优势,推进了智能家居的进步。其中美国品牌Control4,现在已经在Zigbee技术领域起领导带头作用,并能够将多种功能一体化,实现用户的个性化定制服务。在远程控制和综合触屏方面,快思聪公司则有着极大的优势。霍尼韦尔则主打家居安防产品,利用监控和报警功能实现可视对讲、防盗防灾等,为住户带来舒适可靠的居住体验[5]。
对于智能家居舒适度方面的研究,家庭环境自适应控制系统(ACHE)由Mozer在美国开发,ACHE可以监测居民的设备使用模式,利用不同类型的传感器,构建神经网络的自适应推理引擎来控制温度,加热和照明。ACHE可以控制房屋的三个主要组成部分,同时最大限度地提高用户舒适度并节约能源[6]。ACHE是最早的智能家居项目之一,但是它的功能仅限于光照,温度和热量控制。
在智能家居远程访问和控制方面的研究,来自马来西亚博特拉大学先进技术研究所的Perumal等人,提出了基于简单对象访问协议(SOAP)的智能家居的设计和实现[7]。他们设计了一个基于SOAP的控制模块,以实现智能家居中家用电器的互操作。在住宅管理系统内设计了15个基于网络的反馈控制通道,如果服务器出现故障,也可以通过SMS模块远程控制系统。它提供完整的双向实时智能家居控制和监控系统,该系统使用基于中继的交换机实现,该交换机不遵循任何标准通信协议。
此外R.Piyare和M.Tazil提出了基于蓝牙的智能家居系统,其硬件架构由Arduino BT板和手机构成,家用电器连接到Arduino BT板,Arduino BT板和手机间的通信采用蓝牙无线技术,只需稍加修改即可将其他设备连接到系统中[8]。该系统成本低、可扩展,允许控制各种设备而对其核心的改变最小。S.Sen和S.Chakrabarty等人则提出了基于语音识别的智能家居系统,该系统的硬件结构由Arduino UNO和智能手机组成。智能手机和Arduino UNO之间的无线通信通过蓝牙技术完成,Android OS内置的语音识别系统可以将用户语音命令转换为文本,然后把该文本消息发送到与Arduino UNO连接的蓝牙模块HC-05。语音控制的智能家居系统优势在于,用户可以仅在智能手机麦克风中发出设备名称并告诉它打开或关闭设备,从而轻松控制各种家用电器。D.Pavithra和R.Balakrishnan提出了基于物联网的智能家居监控系统,该系统专注于通过万维网控制家用电器,允许用户使用Wifi和Raspberry控制和监控不同的家用电器。一些家用电器比如风扇、电视和灯等,也可以通过使用该网站远程控制,此外,系统也为火灾事故提供保护,将警报信息和图像发送到智能手机,以此来通知用户。
对于智能家居的国内现状,1994年智能家居开始进入中国市场,其发展经历了四个阶段。首先是1994年至1999年的萌芽期,此时行业处于认知熟悉的阶段,并没有出现专业的智能家居生产商。随后进入智能家居开创期,许多智能家居研发生产企业纷纷成立,但随着企业的野蛮生长和恶性竞争,智能家居进入了徘徊期。在房地产行业的大背景下,科技的迅猛发展使智能家居进入了快速发展时期,越来越多的厂家开始重视智能家居的研究,智能家居正逐步发展与完善。
在台湾工业技术研究所,Chun-Yu Chen等人开发了一个智能家居,将不同的通信协议集成到家庭网络中。其结合了不同的通信协议,发起了智能家电联盟网络标准,如UPnP, DLNA等。研究人员还开发了智能家电,这些设备使用微控制器接收命令并将其状态发送到系统。他们建造了一个智能能源家庭实验室,以减少能源浪费。这项研究是具有分布式的智能家居一个很好的例子[9]。
Yan Wenbo[10]等人通过软件和硬件的设计来构建智能家居系统,实现了一种基于Internet协议管理家庭硬件的无线解决方案。这个方案使用Wifi模块和XMPP语言来构建智能家居单元,也正是智能单元和家庭代理概念的出现,使得其方案更具特点优势。并且人们可以用一个手机或其他电子设备,同时控制多个电器,实现远程控制与监控。
目前,在中国智能家居的研发和市场中,华为、美的、小米和海尔等公司的研究成果较为突出。海尔公司的U-home平台在早期相对有名,其本质是一种全交互性的家庭中央控制器。可以通过统一的Internet智能协议标准,解决用户在衣食住行等方面多样性的智能生活。华为则凭借其在手机方面的强大优势,进入智能家居市场,并占有一定的低位。小米也在智能家居中研发许多硬件产品,比如智能电饭煲,可远程遥控煮饭并附带烹饪助理APP,还有扫地机器人等,小米的智能家居渗透在生活的各个方面,提高了人们的生活水平。
单从智能窗帘这方面来讲,在21世纪初,英国便有一家公司研发出智能窗帘,可以根据用户需求,遥控或定时开关窗帘等。但在国内它有许多成长的空间,仍在不断迅速成长,相信以后会进入千家万户,普及大众。
1.3 研究内容和目标
本文主题为基于单片机的智能家居控制系统,根据人们对智能窗帘的需求以及智能窗帘的研究现状,决定以智能窗帘为代表对智能家居控制系统进行研究。系统以单片机STC89C52为核心,接收并发送各种控制命令与数据。系统电路由单片机最小系统模块、光照强度采集模块、温度采集模块、电机驱动模块、无线通信模块等组成。通过Keil软件对程序进行编译,并输入到单片机中,实现系统的运转。具体实现功能如下:
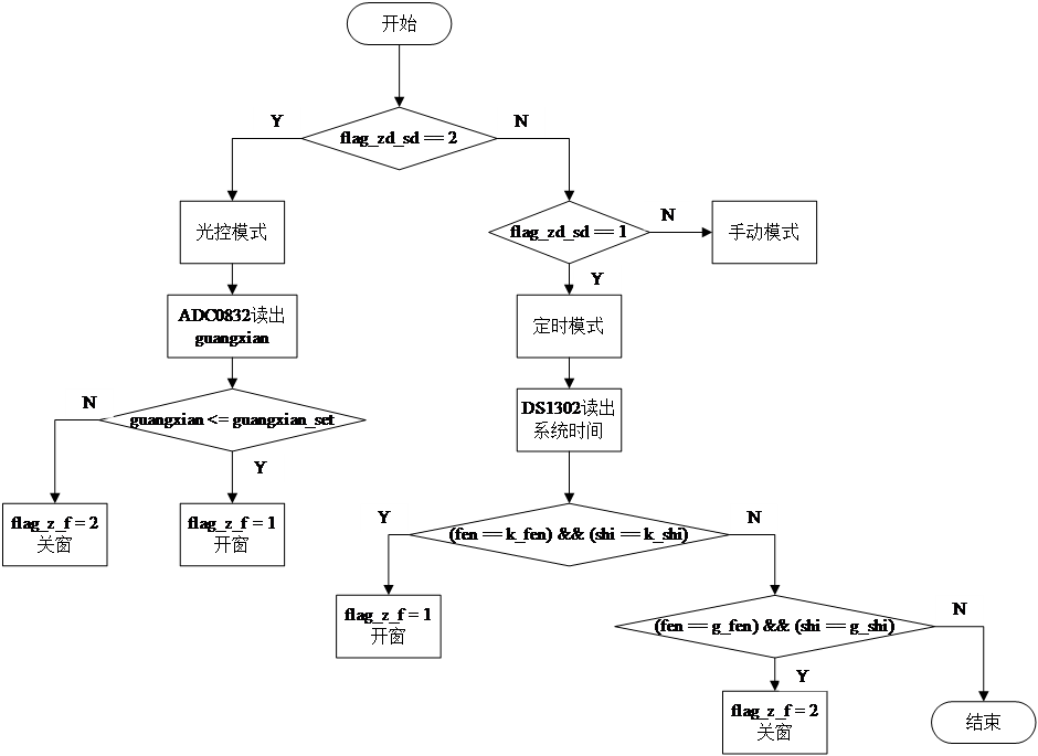
(1)手动自动模式一键切换:手动模式可直接按键开关窗帘,自动模式分为光控和定时。可以根据按键随机切换两种模式。
(2)光照智能控制模式:系统可以根据采集到的光照强度,和设定的光照强度阈值,自主决定窗帘的开关。
(3)定时模式:系统根据开关窗帘时间的设定,当时间到达时,自主控制窗帘的开关。
(4)远程控制:根据红外遥控原理,实现一键远程控制窗帘的开关。
(5)温度报警模式:当系统采集到的温度值,高于设定的阈值时,系统自主报警,提醒用户住房安全。
1.4 论文的组织结构
根据对智能窗帘控制系统的研究,全文大体分为六个部分。
第一章,绪论。阐述研究智能家居控制系统的意义,介绍了国内外对智能家居控制系统的研究成果,明确研究内容与目标。
第二章,方案论证。介绍了系统的整体方案,并对各个模块的方案进行论证与说明。
第三章,硬件电路设计与分析。详细介绍了各个模块的电路设计,并利用Proteus画出电路原理图,对其工作原理也进行了进一步的分析与阐述。
第四章,程序设计与分析。在Keil软件上,利用C语言编写出与硬件电路相对应的程序并进行编译。
第五章,系统测试与分析。联合调用Proteus和Keil进行电路仿真调试,并利用STC-ISP软件下载编程烧录,测试最终焊接的实物能否实现各项功能。
第六章,总结。对本文设计的基于单片机的智能窗帘以及智能家居控制系统进行总结与展望,补充说明此次的不足之处。
第2章 系统分析与设计
2.1 智能窗帘系统分析
基于单片机的智能窗帘控制系统的设计,是为了解决传统窗帘只能手动开关这一问题。在现代化的都市中,高楼办公室、会议室里厚重窗帘的开关,对人们来说是极为不便的;在日常家庭生活中,窗帘的开关对于一些残疾人或行动不便的老人来说,也带来诸多困扰。因此智能窗帘的设计是十分必要的,国外对于智能窗帘的应用已经十分广泛,但国内对于智能窗帘的应用仍需要进一步的推广与发展。对于国内智能窗帘没有普及大众的原因,主要归因于复杂控制系统的高昂费用,因此本文设计了一款基于单片机的智能窗帘控制系统,成本低的同时又可以方便大众。
智能窗帘控制系统具有基本的手动控制窗帘功能,即通过按键便可实现窗帘的开与关,与人为的直接开关窗帘还是有一定的区别。除了基本的手动控制窗帘外,系统还具有光控功能,即系统会随着光线的强弱自主控制窗帘,当光照强度过大时,窗帘会自主进行关操作,光照强度过小时,窗帘会自主进行开操作。同时系统还具有定时功能,即当人们设定好开关窗帘的时间以后,就不用对窗帘进行操控,当设定时间到达时,窗帘会自主进行相应的开关操作,使窗帘可以根据用户需求在任意时间自主开关。此外红外遥控功能可以实现系统的远程控制,利用红外遥控器进行远距离的开关窗帘,而温度报警系统,则可以提醒用户的住房安全。
基于以上的功能需求,智能窗帘控制系统需要具有光照采集模块、温度采集与检测模块、时钟模块、显示模块以及电机模块等。光照采集模块可以采集光照强度,从而进行后续系统的光控功能。温度采集与检测模块是采集温度参数,从而利于系统进行温度判决,实现温度报警功能。时钟模块,是为系统提供年、月、日、时、分、秒、周等时间信息,方便系统定时功能的实现。而显示模块即利用显示屏,展现系统当前光照、温度、时间等参数,方便用户设定系统的各项参数。电机模块,则是利用电机驱动窗帘的开关,是系统实现窗帘开关最直观的体现。基于这些模块的设计,系统需要硬件电路与软件设计相结合,才能实现最终的系统功能。
2.2 智能窗帘系统结构
根据智能窗帘控制系统的功能需求分析,即实现手动、光控、定时、报警、遥控的功能,系统需要有光照采集、时钟电路、温度电路、显示电路、遥控接收等部分,其系统方案如图2.1所示。
以上是毕业论文大纲或资料介绍,该课题完整毕业论文、开题报告、任务书、程序设计、图纸设计等资料请添加微信获取,微信号:bysjorg。
相关图片展示:







课题毕业论文、开题报告、任务书、外文翻译、程序设计、图纸设计等资料可联系客服协助查找。
